• Предмет: Алгебра
  • Автор: SoKoLi4
  • Вопрос задан 11 лет назад

помогите решить систему уравнений,пожалуйста.

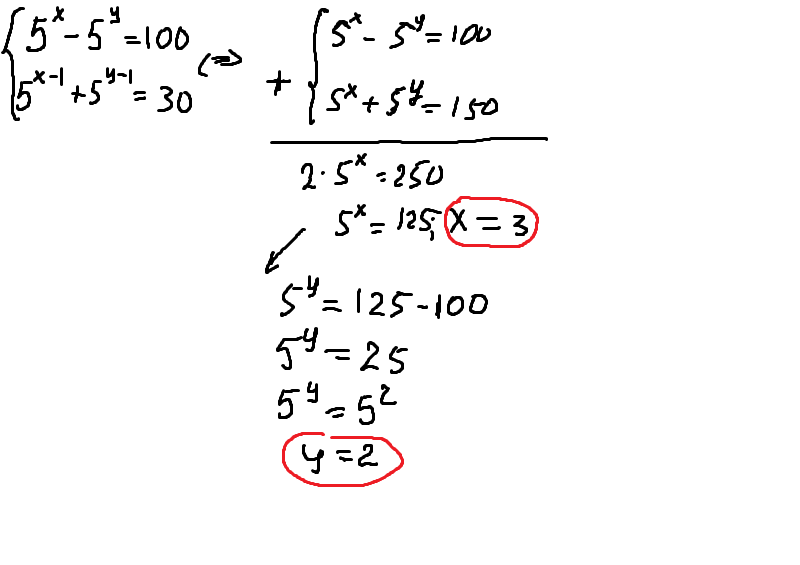
5(в степени х)-5(в степени у)=100 и 5(в степени х-1)+5(в степени у-1)=30

Ответы

Ответ дал: Аноним
0

СМ. ВЛОЖЕНИЕ

=======================================

Приложения:
Вас заинтересует