Вычислить
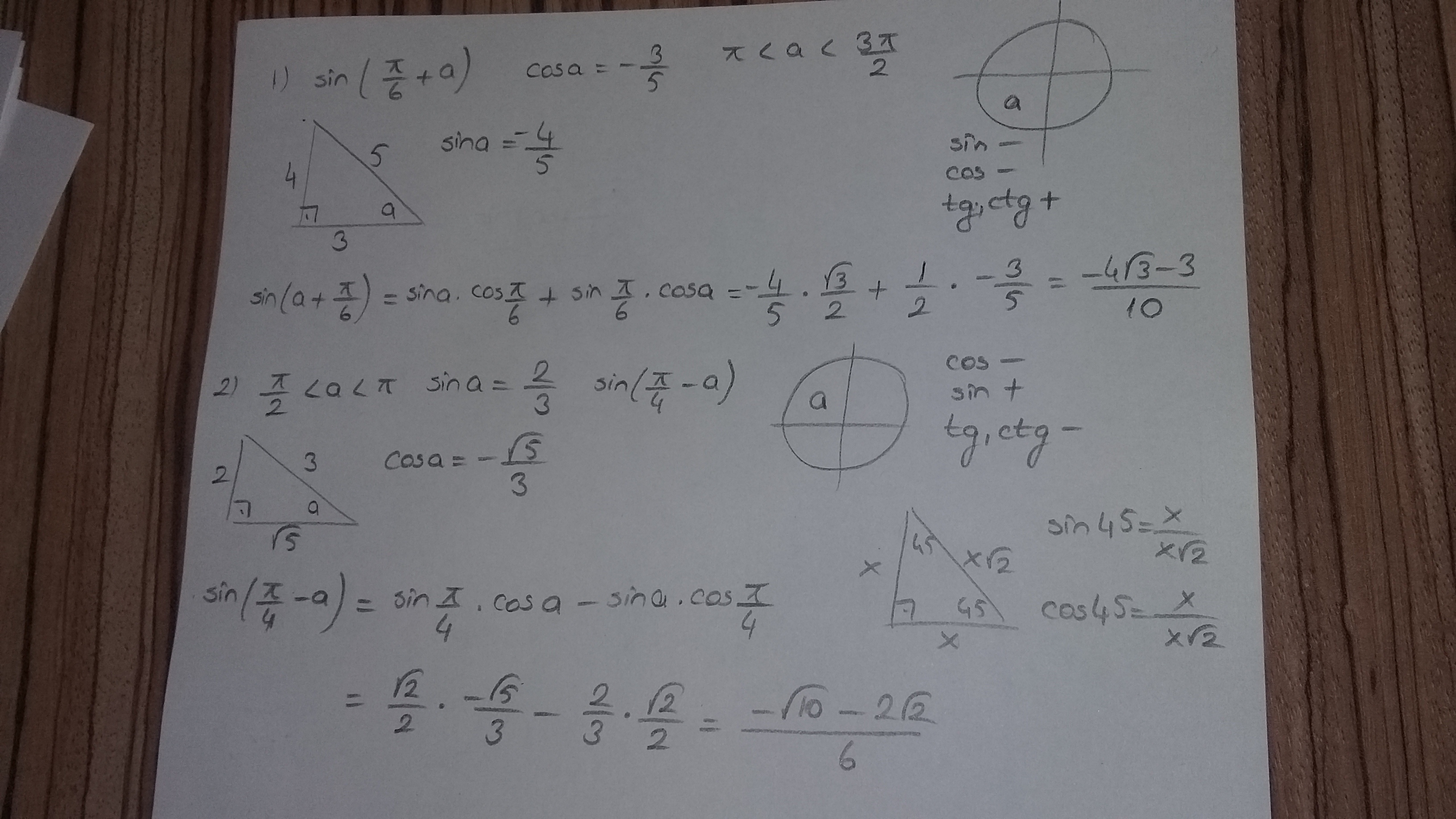
1) sin (a+П/6),если cos a=-3/5 и П <а <3П/2
2)sin (П/4-а),если sin a= корень из 2/3 и П/2 <а <П
Ответы
Ответ дал:
0
I hope this helps you
Приложения:

Ответ дал:
0
what's the sina ?
Вас заинтересует
2 года назад
7 лет назад
9 лет назад
10 лет назад
10 лет назад