Помогите с двумя номерами. СРОЧНО,25 БАЛЛОВ.
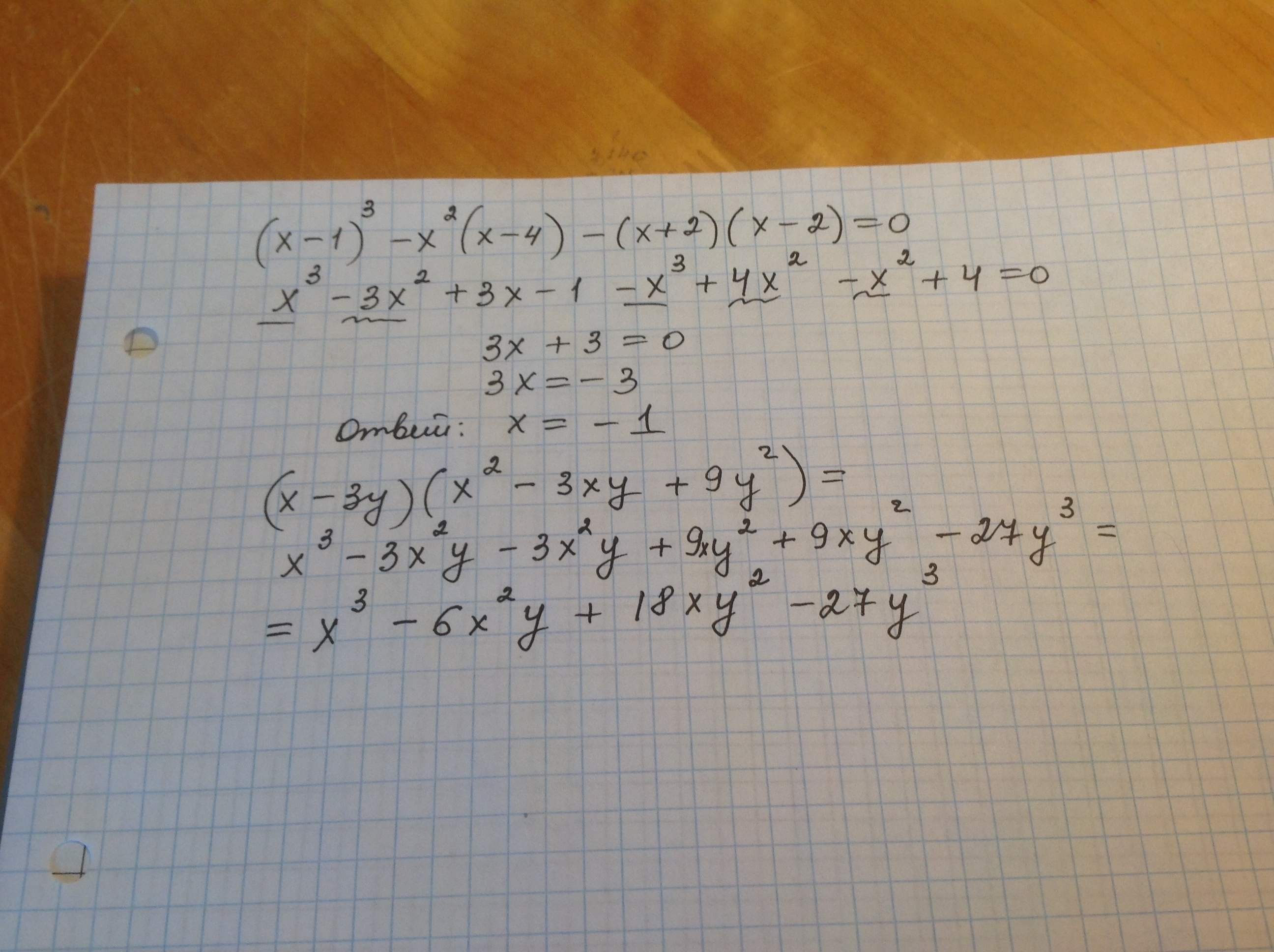
1.Преобразовать в многочлен стандартного вида:
(x-3y)(x^2-3xy+9y^2)
2.Решите уравнение:
(x – 1)^3 – x^2(x – 4) – (x + 2)(x – 2) = 0.
Ответы
Ответ дал:
0
Решение смотри на фото
Приложения:

Вас заинтересует
2 года назад
2 года назад
7 лет назад
7 лет назад
10 лет назад