• Предмет: Алгебра
  • Автор: milca14
  • Вопрос задан 9 лет назад

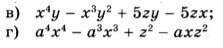
Разложите на множители

Приложения:

Ответы

Ответ дал: 55555kseniya
0

в) х3у (х-у) + 5з (у-х) = х3у (х-у) - 5з (х-у) = (х-у) (х3у-5з)

( Только где 3 там это степень сверху маленькая)+

Под г не знаю как делать честное слово

Помогла, чем смогла.

Ответ дал: milca14
0
везде? 3 маленькая
Вас заинтересует