• Предмет: Алгебра
  • Автор: arishkis
  • Вопрос задан 9 лет назад

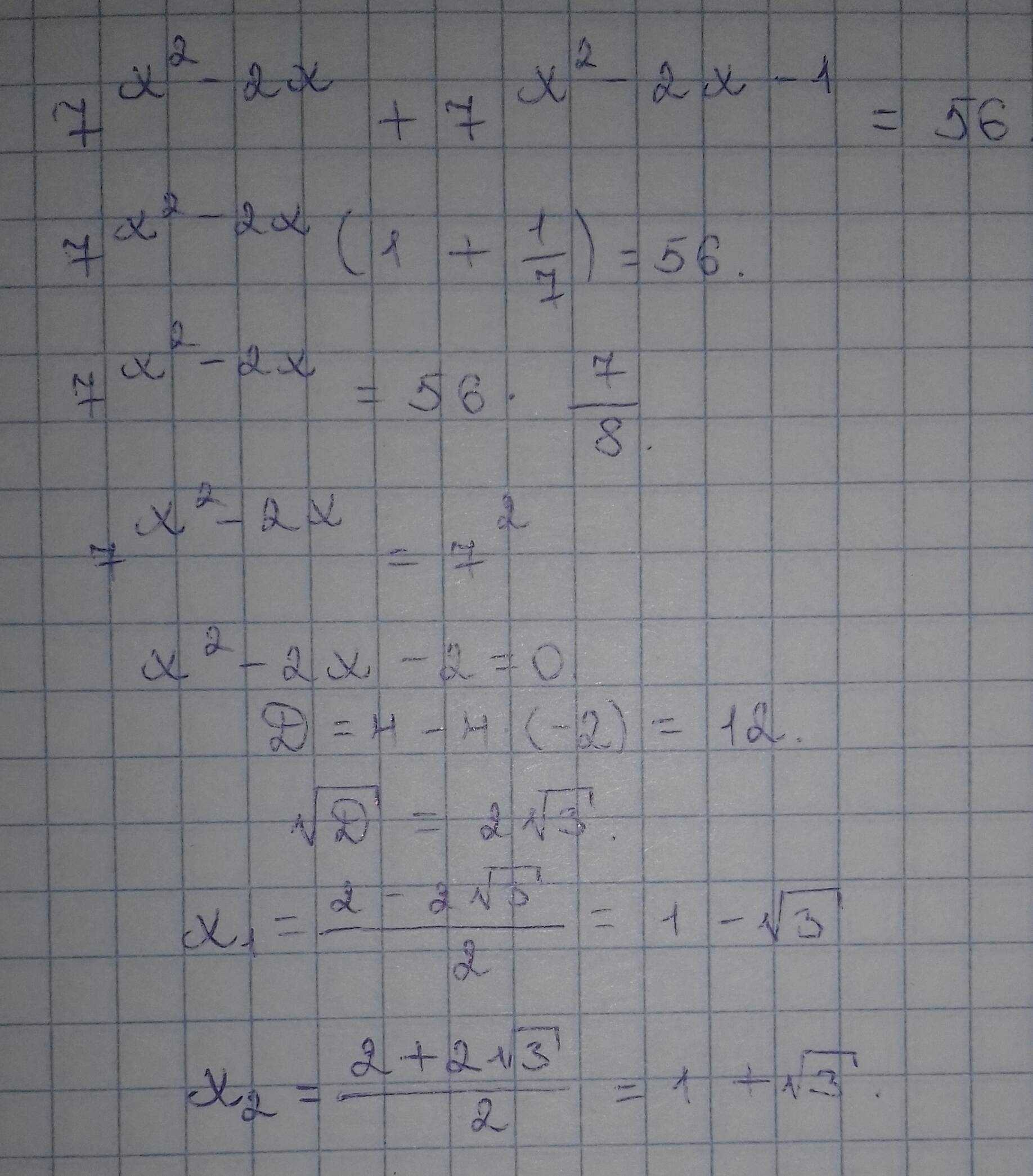
Решите уравнение......

Приложения:

Ответы

Ответ дал: hidwe
0
Решение во вложении.
Приложения:
Вас заинтересует