Ответы
Ответ дал:
0
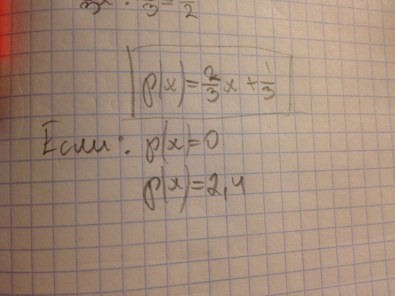
Если p(x) равно нулю,то 2/3 умножить на 0 + 1/3 =1/3
Если p(x) равно 2,4,то 2,4 умножить на 2/3 + 1/3=29/15
P-это переменная(неизвестное число)
Х-это наименование переменной(обозначение)
Если p(x) равно 2,4,то 2,4 умножить на 2/3 + 1/3=29/15
P-это переменная(неизвестное число)
Х-это наименование переменной(обозначение)
Вас заинтересует
2 года назад
10 лет назад
10 лет назад
10 лет назад