Задание:Выполни деление с обеъяснением
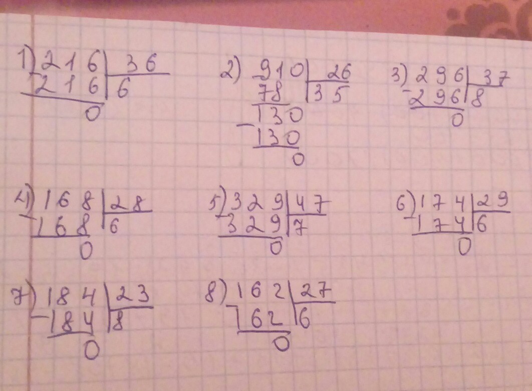
Примеры:216:36 910:26 296:37 168:28 329:47 174:29 184:23 162:27
ВСЁ СТОЛБИКОМ!!!!! ВСЁ СТОЛБИКОМ!!!!! ВСЁ СТОЛБИКОМ!!!!! (примером столбиком)
Ответы
Ответ дал:
0
все решила столбиком списывай все правельно
Приложения:

Вас заинтересует
2 года назад
2 года назад
7 лет назад
9 лет назад
9 лет назад
10 лет назад