• Предмет: Алгебра
  • Автор: ArtForce
  • Вопрос задан 11 лет назад

Тригонометрические тождества. Лучшее решение за решение 3-х заданий ^_^

Приложения:

Ответы

Ответ дал: PhysM
0

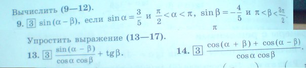
1)

sin(alpha-beta)=sinalpha cosbeta-cosalpha sinbeta

Найдем cosalpha и cosbeta

т.к:

sin^2alpha+cos^2alpha=1

 Получаем:

cosalpha=sqrt{1-(frac35)^2}=frac45 но т.к. frac{pi}{2}<alpha<piполучаем cosalpha=-frac45

cosbeta=sqrt{1-(frac45)^2}=frac35 но т.к. pi<beta<frac{pi}{2} получаем cosbeta=-frac35

Получаем:

sin(alpha-beta)=sinalpha cosbeta-cosalpha sinbeta=-frac35*frac45-frac35*frac45=-2frac35*frac45=

=frac{24}{25}

 

2)

frac{sin(alpha-beta)}{cosalpha cosbeta}+tgbeta=frac{sinalpha cosbeta-cosalpha sinbeta}{cosalpha cosbeta}+tgbeta=tgalpha-tgbeta+tgbeta=tgalpha

3)

frac{cos(alpha+beta)+cos(alpha-beta)}{cosalpha cosbeta}=

=frac{cosalpha cosbeta-sinalpha sinbeta+cosalpha cosbeta+sinalpha sinbeta}{cosalpha cosbeta}=2

Вас заинтересует