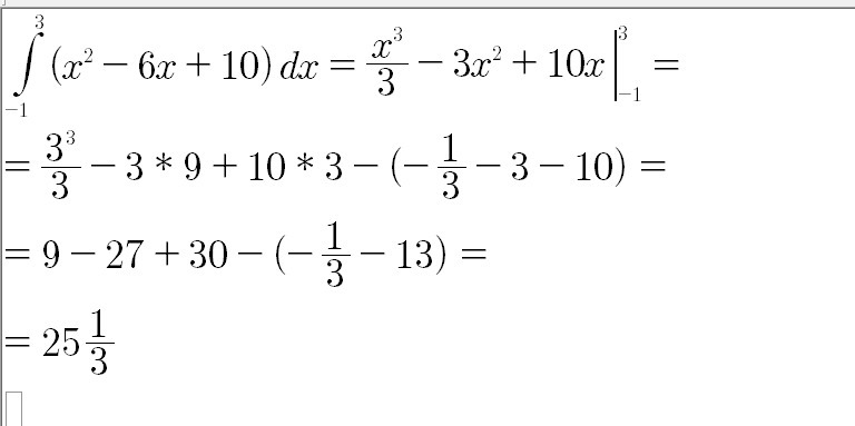
Найти площадь фигуры, ограниченной графиком функции f(x)=x^2-6x+10, прямыми х=-1, х=3 и осью абсцисс. Подробнее Пожалуйста!
Ответы
Ответ дал:
0
см решение
+ график
==============================
+ график
==============================
Приложения:
Вас заинтересует
2 года назад
2 года назад
7 лет назад
7 лет назад
10 лет назад
10 лет назад