• Предмет: Алгебра
  • Автор: hebi98
  • Вопрос задан 9 лет назад

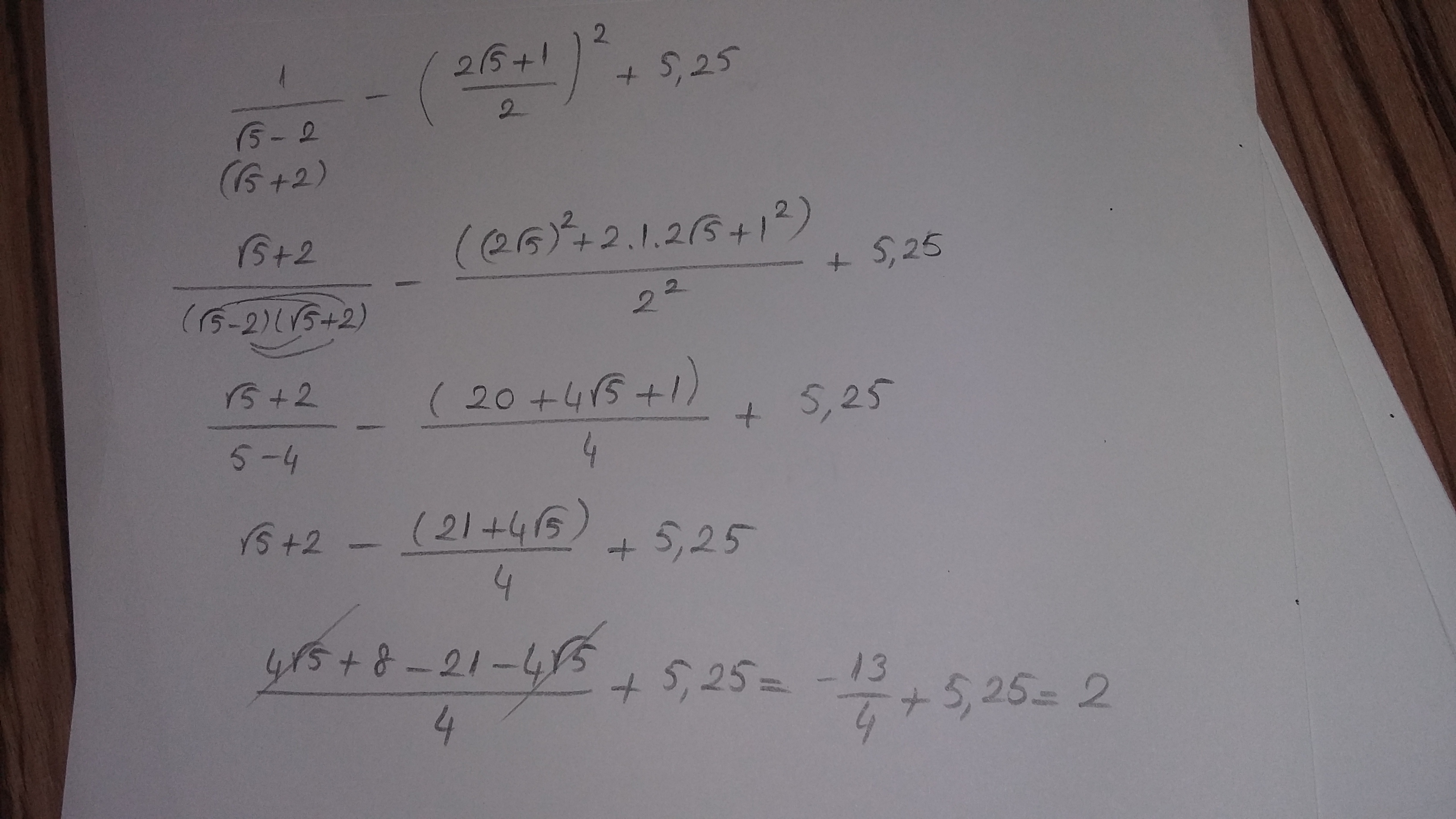
Пожалуйста помогите. Вроде пример не особо сложный, но у меня ответ получается неверный. Если можно с решением, т.к очень интересно узнать где я ошибся)) Заранее спасибо!

Приложения:

Ответы

Ответ дал: Аноним
0
I hope this helps you
Приложения:
Ответ дал: Аноним
0
you're welcome ^-^
Вас заинтересует