• Предмет: Математика
  • Автор: nastyamitronova1706
  • Вопрос задан 9 лет назад

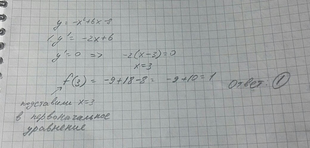
найдите наибольшее значение функции y = -x^2 + 6x - 8

Ответы

Ответ дал: подкожного
0
решение задания смотри на фотографии
Приложения:
Ответ дал: LLlkaф
0
Возможно, мне светит лучший ответ... :))
Приложения:
Ответ дал: LLlkaф
0
Спасибо за лучший ответ!)))
Вас заинтересует