• Предмет: Алгебра
  • Автор: oZIGAL
  • Вопрос задан 9 лет назад

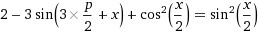
Дано уравнение
a)решите уравнение
б) найдите все решения уравнения на отрезке [-3p; -3p/2]

Приложения:

Ответа на этот вопрос пока нет. Попробуйте найти его через форму поиска.

Вас заинтересует