• Предмет: Алгебра
  • Автор: margo712011
  • Вопрос задан 9 лет назад

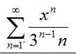
Найти область сходимости степенного ряда:

Приложения:

Ответа на этот вопрос пока нет. Попробуйте найти его через форму поиска.

Вас заинтересует