• Предмет: Математика
  • Автор: SenichMix
  • Вопрос задан 9 лет назад

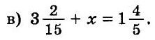
Помогите!!! срочно нужно решить

Приложения:

Ответы

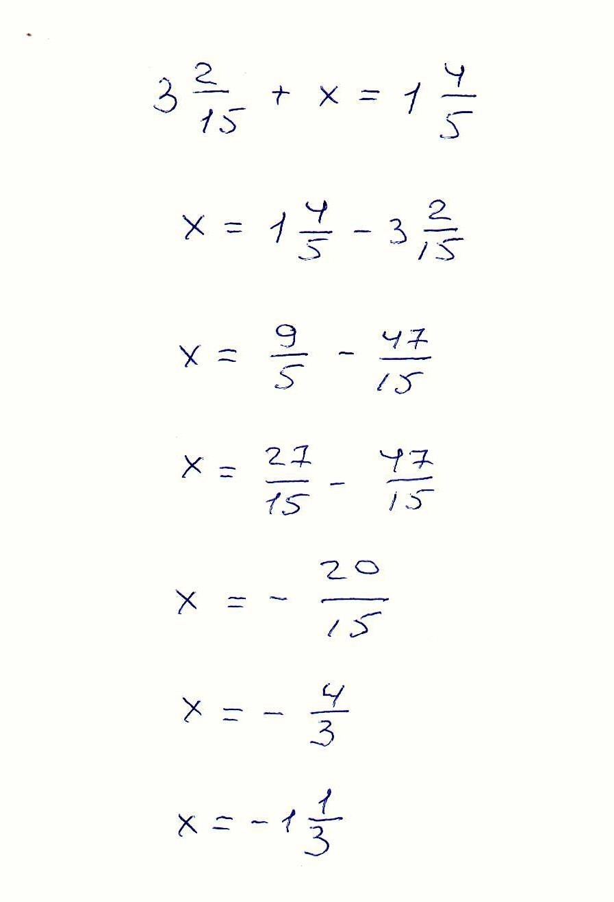
Ответ дал: marat2281337
0
Смотри файл....................................
Приложения:
Вас заинтересует