• Предмет: Алгебра
  • Автор: Совёнок522
  • Вопрос задан 9 лет назад

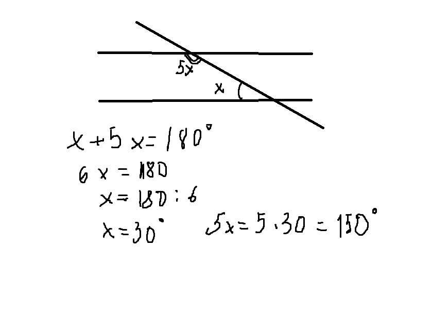
При пересечении двух параллельных прямых секущей образовались односторонние углы,один из которых в пять раз больше другого.Найдите эти углы.

Ответы

Ответ дал: parus77
0
пусть 1 угол х,тогда 2 угол 5х,а их сумма ,как внутренних односторонних равна 180,сост.уравнен. х+5х=180
Приложения:
Вас заинтересует