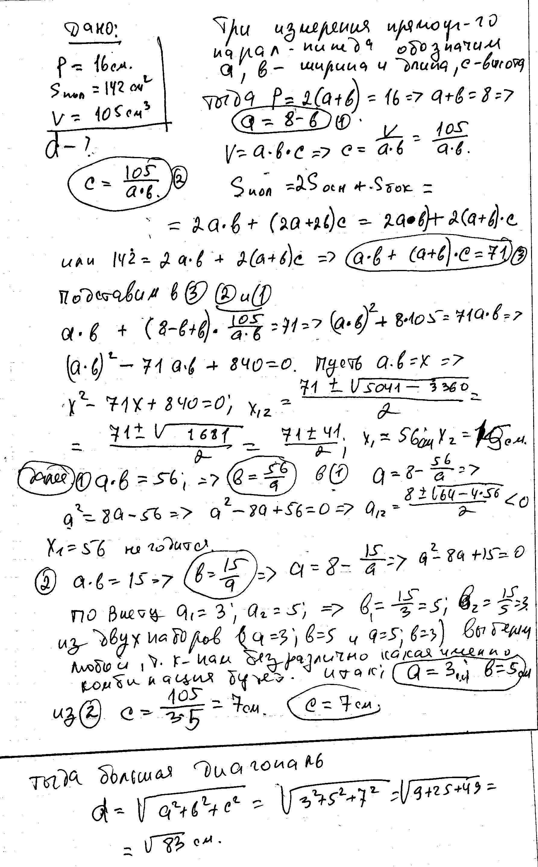
Найдите диагональ прямоугольного параллелепипеда, если периметр его основания равен 16 см. Площадь полной поверхности-142 и объем-105
Ответы
Ответ дал:
0
Задачка скорее алгебраическая на три уравнения с тремя неизвестными. Но, кажется, нашел легкое решение.
Приложения:

Вас заинтересует
2 года назад
2 года назад
8 лет назад
8 лет назад
10 лет назад
10 лет назад