• Предмет: Алгебра
  • Автор: FAйболит
  • Вопрос задан 9 лет назад

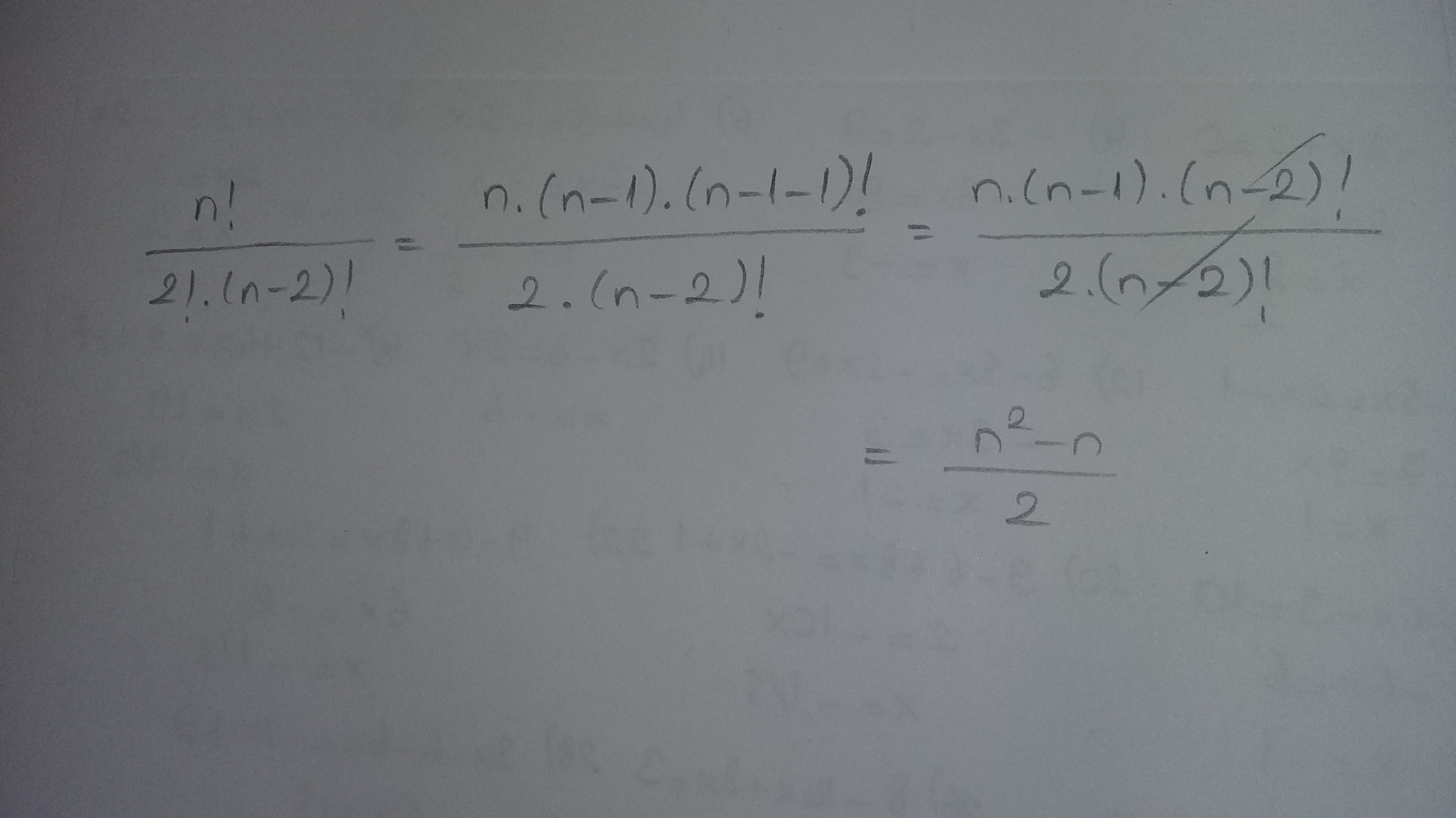
n!: 2!*(n-2)! выразите факториал

Ответы

Ответ дал: Аноним
0
I hope this helps you
Приложения:
Вас заинтересует