• Предмет: Алгебра
  • Автор: Аноним
  • Вопрос задан 11 лет назад

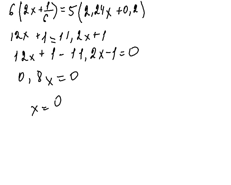
6(2x+1/6)=5(2,24x+0,2)     Линейное уровнение с одной переменой)

Ответы

Ответ дал: grisenko97
0

во вложении......................

Приложения:
Вас заинтересует