• Предмет: Физика
  • Автор: shmatov1994
  • Вопрос задан 11 лет назад

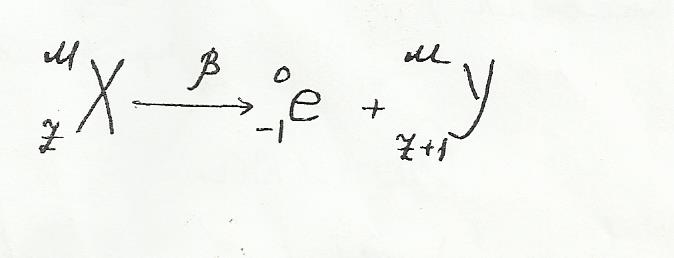
Какой изотоп образуется из радиоактивного изотопа frac{56}{25}Mn  после каждого из четырех β распадов.

Ответы

Ответ дал: Аноним
0

Формула во вложении.................

 

Mn^{56}_{26}

 

Fe<var>^{56}_{27}</var>

 

Co^{56}_{28}

 

Ni^{56}_{29}

Приложения:
Вас заинтересует