Ответы
Ответ дал:
0
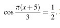
1. π(x+5)/3=+-π/3+2π*n, где n∈Z. Отсюда следует, что х принимает значения х=+-1+6*n-5. Значит, х= -18,-16,-12,-10,-6,-4,0,2 и так далее. Иксы находятся простой подстановкой целых чисел вместо буквы n. Отсюда видно, что такой х= -4.
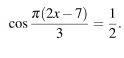
2. Таким же методом. π(2х-7)/3=+-π/3+2πn. х=(+-1+6*n+7)/2. х= -2.
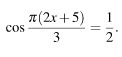
3. То же самое, только π(2х+5)/3=+-π/3+2πn. х=(+-1+6*n-5)/2. х=-2
2. Таким же методом. π(2х-7)/3=+-π/3+2πn. х=(+-1+6*n+7)/2. х= -2.
3. То же самое, только π(2х+5)/3=+-π/3+2πn. х=(+-1+6*n-5)/2. х=-2
Вас заинтересует
3 года назад
3 года назад
7 лет назад
7 лет назад
10 лет назад
10 лет назад
10 лет назад