в прямой треугольной призме стороны основания равны 4 5 7 а высота призмы равна 3 корня из а Найти объем призмы
Ответы
Ответ дал:
0
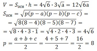
Объём призмы равен произведению её высоты на площадь основания.
Основание - треугольник. Можно найти с помощью формулы Герона.
Ответ: 12 корней из 6а.
Приложения:
Вас заинтересует
3 года назад
3 года назад
8 лет назад
8 лет назад
11 лет назад
11 лет назад
11 лет назад