• Предмет: Математика
  • Автор: aminkipkeev12
  • Вопрос задан 9 лет назад

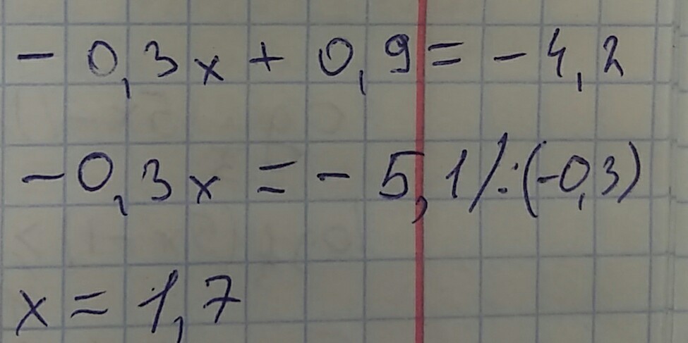
-0,3x+0,9=-4,2
Решите уравнение пожалуйста!

Ответы

Ответ дал: UralGora
0
ответ на фотографии. . . .
Приложения:
Ответ дал: sysola
0
-0,3x+0,9=-4,2
-0,3x=-4,2-0,9
-0,3х=-5,1
х=-5,1/-0,3
х=17
Приложения:
Вас заинтересует