• Предмет: Алгебра
  • Автор: Alina33333333
  • Вопрос задан 9 лет назад

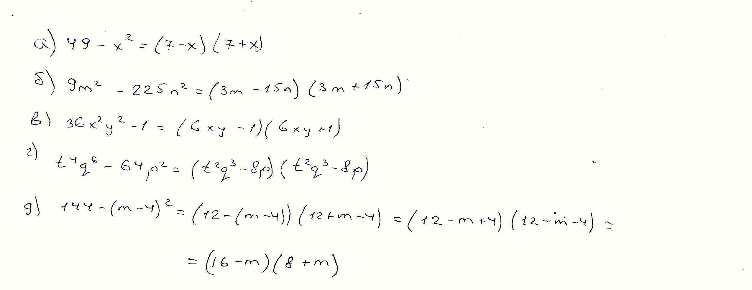
Разложите многочлены на множители с помощью формул сокращённого умножения. Разность квадратов.
Разложите на множители
A)49-x2 степени
Б)9m2степени-225n2степени
В)36x2y2-1
Г)t4q6-64p2
Д)144-(m-4)2
Там везде во второй степени
Помогите пожалуйста

Ответы

Ответ дал: marat2281337
0
Ответ в файле.................
Приложения:
Ответ дал: Alina33333333
0
Спасибо
Вас заинтересует