• Предмет: Математика
  • Автор: 0sveta0
  • Вопрос задан 11 лет назад

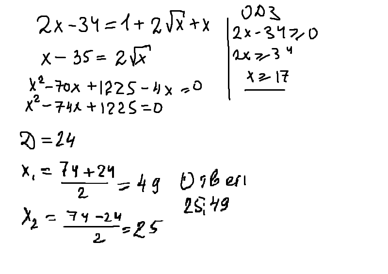
Решите уравнение (иррациоальное уравнение)

 √2x-√34=1+√x

Приложения:

Ответы

Ответ дал: Гоша68
0

2x-34=1+x+2sqrt(x)

x-35=2sqrt(x)

x^2-74x+1225=0

x=37+-12

x=25

x=49

 

Ответ дал: Аноним
0

см. вложение

==============================

Приложения:
Вас заинтересует