Ответы
Ответ дал:
0
(x-2,5)×4 целых 1/5=6,3
x-2,5=6,3/4,2
x-2,5=1,5
x=1,5+2,5
x=4
(P.S. 4,2 получилось, потому что я 4 целых 1/5 перевёл в неправильную дробь, получилось 21/5, затем 21 поделил на 5)
x-2,5=6,3/4,2
x-2,5=1,5
x=1,5+2,5
x=4
(P.S. 4,2 получилось, потому что я 4 целых 1/5 перевёл в неправильную дробь, получилось 21/5, затем 21 поделил на 5)
Ответ дал:
0
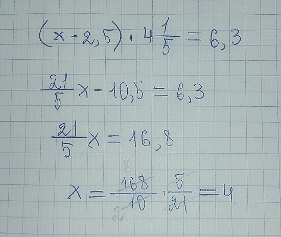
Вот с решением на рисунке:)
Приложения:
Вас заинтересует
2 года назад
7 лет назад
10 лет назад
10 лет назад
10 лет назад