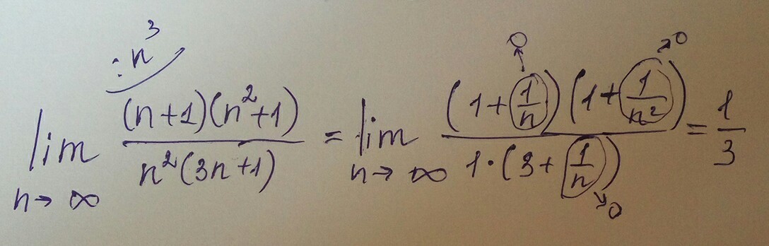
Надо вычислить придел
lim (n+1)(n^2+1)
x-(бесконечность) n^2(3n+7)
Дробная черта между ними.
Пропустила тему и не могу понять как решать.
Помогите,срочняк нужно
Ответы
Ответ дал:
0
Решение смотрите в приложении
Приложения:

Ответ дал:
0
Спасибо, но там заместо 1- 7 стоит только
Ответ дал:
0
поправьте на 7 это не изменит результат)
Ответ дал:
0
Окей.
Ответ дал:
0
Спасибо огромное
Вас заинтересует
2 года назад
2 года назад
9 лет назад
10 лет назад