• Предмет: Алгебра
  • Автор: VRodionova
  • Вопрос задан 9 лет назад

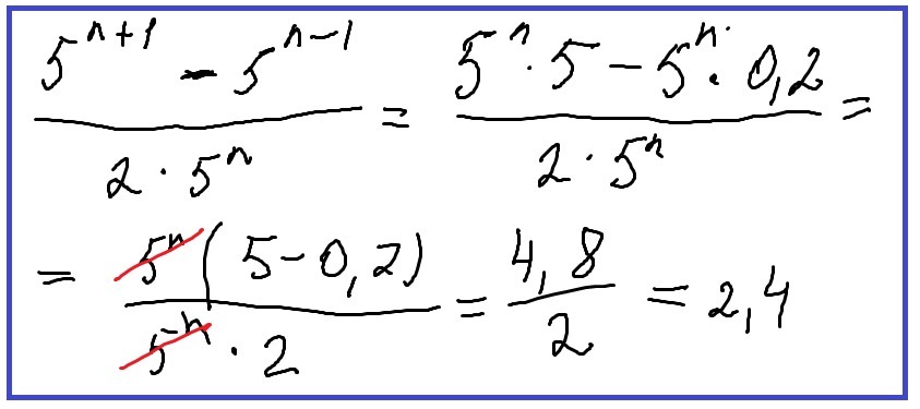
Сократите дробь:
5^n+1-5^n-1/2*5^n
Заранее спасибо!!!!!

Ответы

Ответ дал: ShirokovP
0
см фото
====================
Приложения:
Вас заинтересует