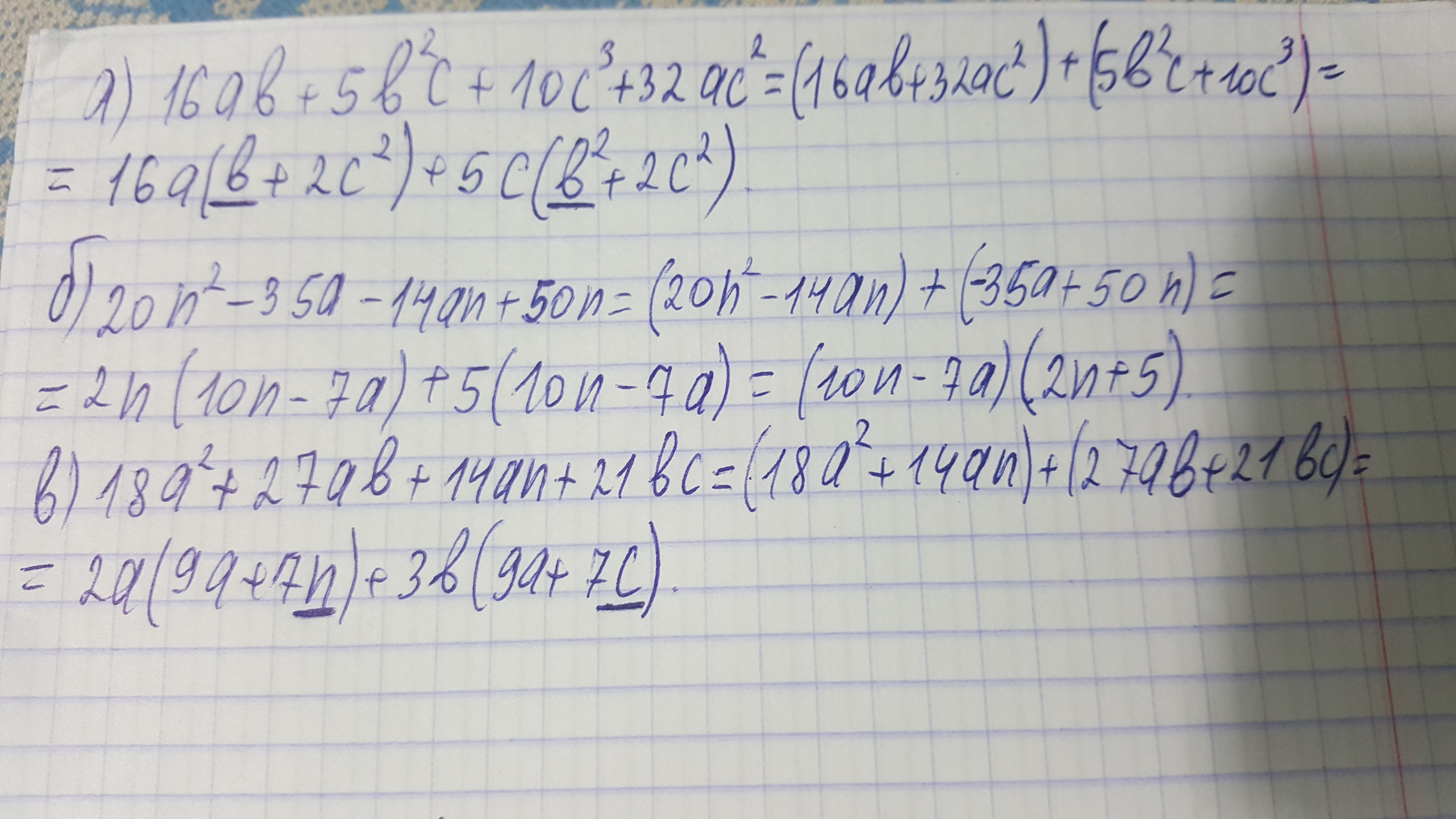
СПОСОБОМ ГРУППИРОВКИ разложить на множители А)16ab+5b² c+10c³ +32ac²= б)20n²-35a-14an+50n В) 18a² +27ab+14an+21bc= пожалуйста распишите
Ответы
Ответ дал:
0
вот решила, сомнения в правильности всегда присутствовали, удачи в написании дз)
Приложения:

Ответ дал:
0
Посмотри на мой ход действий))
Ответ дал:
0
Я подчеркнул буквы , которые не совпадают и из-за которых не доканчивается разложение
Приложения:

Вас заинтересует
2 года назад
9 лет назад
9 лет назад
10 лет назад