Ответы
Ответ дал:
0
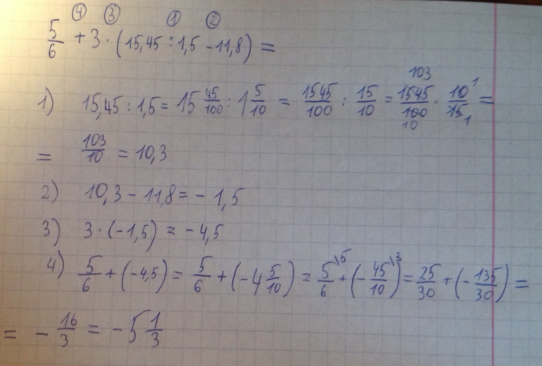
Не уверена , но вроде так...
Приложения:

Ответ дал:
0
1)15,45:1,5=154,5:15
1)154,5:15=10,3
2)11,8-10,3=1,5
3)1,5•3=4,5
4)незнаю
Наверное так: 5,6+4,5=10,1
1)154,5:15=10,3
2)11,8-10,3=1,5
3)1,5•3=4,5
4)незнаю
Наверное так: 5,6+4,5=10,1
Приложения:

Ответ дал:
0
Я учусь только в 5 классе прости
Вас заинтересует
7 лет назад
7 лет назад
9 лет назад
10 лет назад