• Предмет: Алгебра
  • Автор: hjkuykuyikuykiu
  • Вопрос задан 9 лет назад

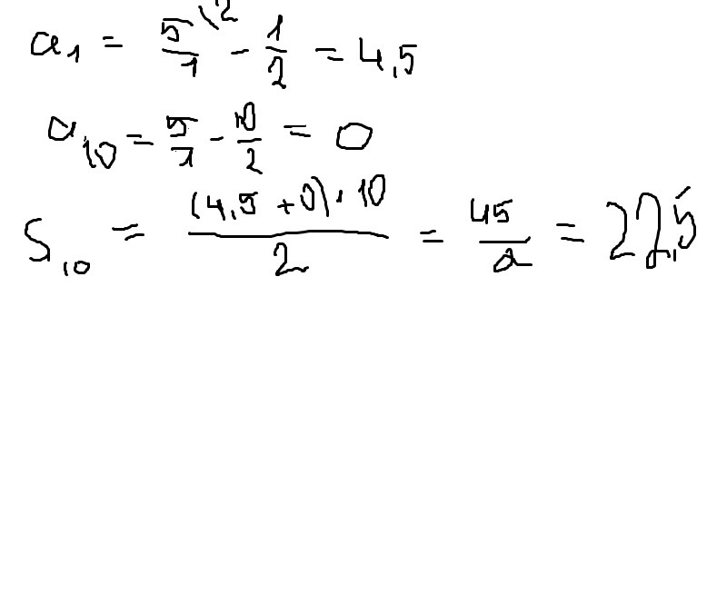
Арифметическая прогрессия задана формулой an= 5 - n/2 . Найдите сумму десяти первых её членов

Ответы

Ответ дал: barakatova2002
0
думаю поймешь я не художник
Приложения:
Вас заинтересует