• Предмет: Алгебра
  • Автор: tanyayuras
  • Вопрос задан 9 лет назад

Пожалуйста помогите! С пошаговым решением

Приложения:

Ответы

Ответ дал: barakatova2002
0
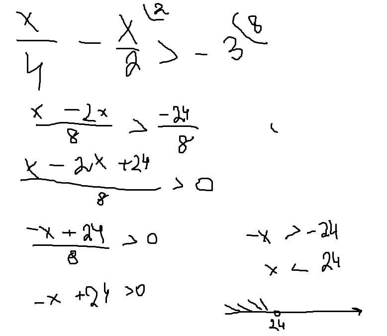
как то так думаю поймешь

Приложения:
Ответ дал: barakatova2002
0
да и допиши x (знак принадлежит, это буква э наоборот) хэ(-бесконечности
Ответ дал: barakatova2002
0
хэ(-знак бесконечность; 24)
Ответ дал: tanyayuras
0
Спасибо большое)
Вас заинтересует