• Предмет: Алгебра
  • Автор: Виталия1616
  • Вопрос задан 9 лет назад

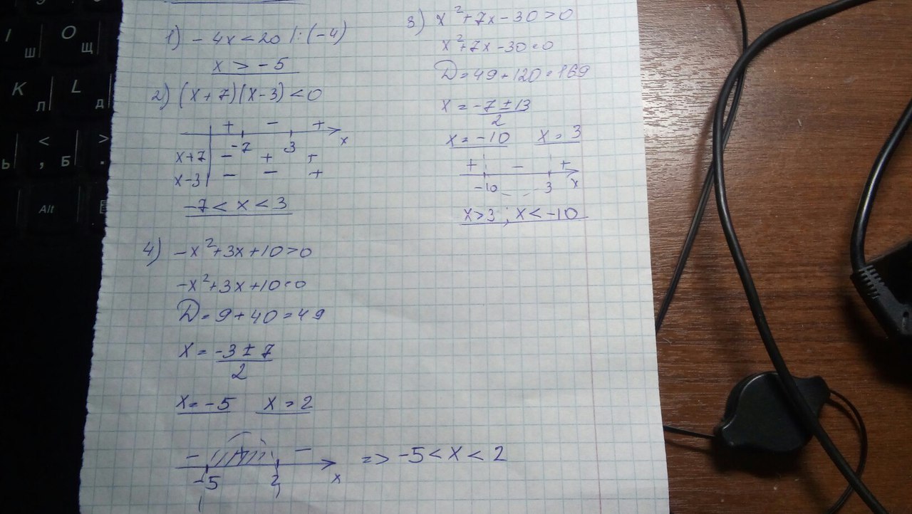
1)-4х<20
2)(х+7)(х-3)<0
3)x(в квадрате)+7х-30>0
4)-x(в квадрате)+3х+10>0

Ответы

Ответ дал: Svetka4329
0
Как-то так, это точно 10-11 класс?
Приложения:
Вас заинтересует