Ответы
Ответ дал:
0
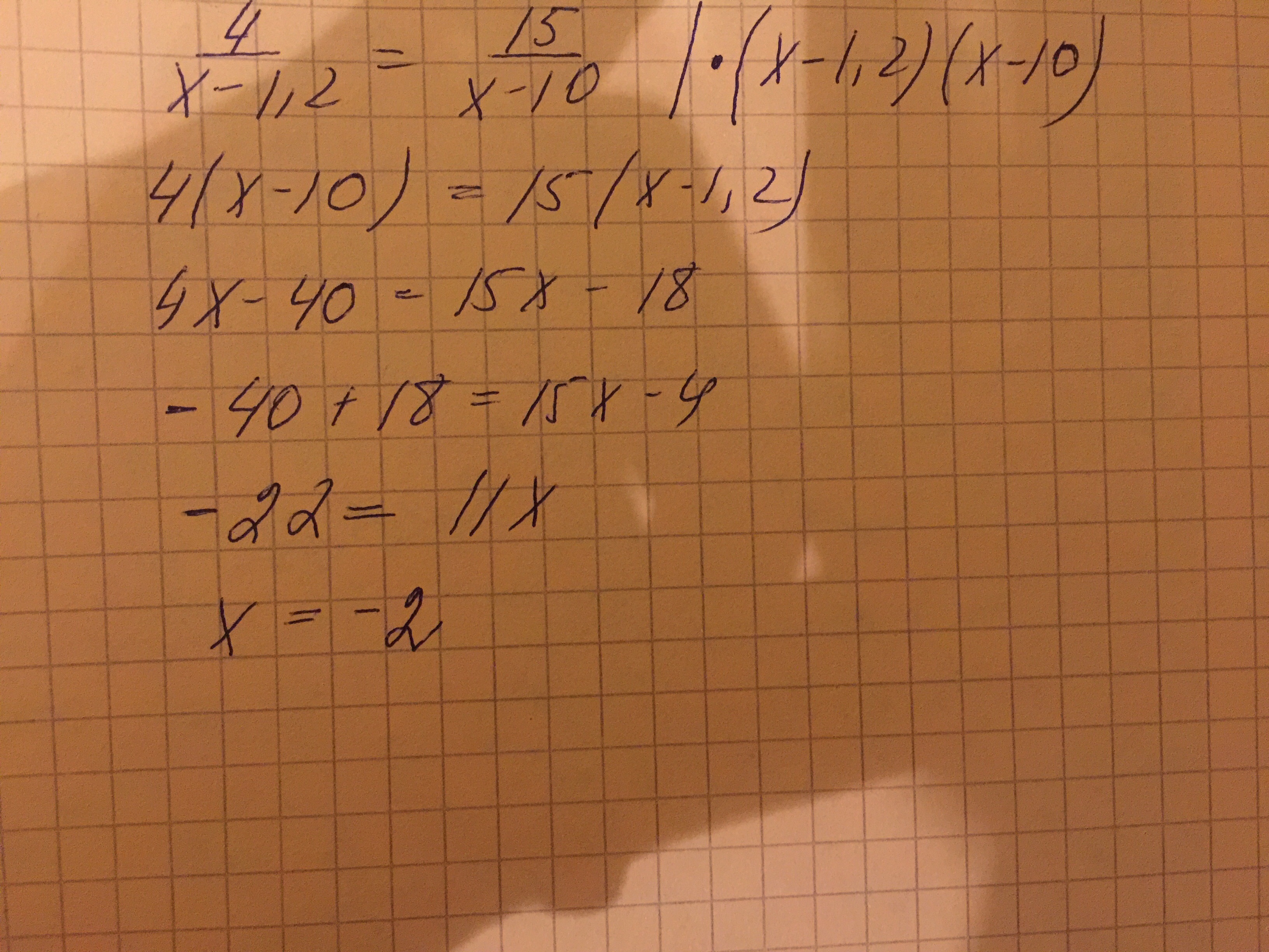
4/(х-1,2) = 15/(х-10)
знаменатели не могут быть равны 0 :
х - 1,2 ≠0 ; х≠1,2
х - 10 ≠ 0 ; х≠10
решаем, как пропорцию (по правилу "креста")
15(х-1,2) = 4(х-10)
15х - 1,2 * 15 = 4х - 4*10
15х - 18 = 4х -40
15х - 4х = -40 + 18
11х =-22
х= - 22 : 11
х=-2
проверим:
4/(-2-1,2) = 15 /(-2-10)
4/(-3,2) = 15/(-12)
- 40/32 = - 5/4
- 5/4 = -5/4
-1,25 = -1,25
знаменатели не могут быть равны 0 :
х - 1,2 ≠0 ; х≠1,2
х - 10 ≠ 0 ; х≠10
решаем, как пропорцию (по правилу "креста")
15(х-1,2) = 4(х-10)
15х - 1,2 * 15 = 4х - 4*10
15х - 18 = 4х -40
15х - 4х = -40 + 18
11х =-22
х= - 22 : 11
х=-2
проверим:
4/(-2-1,2) = 15 /(-2-10)
4/(-3,2) = 15/(-12)
- 40/32 = - 5/4
- 5/4 = -5/4
-1,25 = -1,25
Ответ дал:
0
Просто домножаешь обе части на оба делителя
Получается вот так:
Получается вот так:
Приложения:
Ответ дал:
0
Пожалуйста, и можешь тоже фото прислать
Вас заинтересует
2 года назад
7 лет назад
10 лет назад
10 лет назад