• Предмет: Математика
  • Автор: Аноним
  • Вопрос задан 11 лет назад

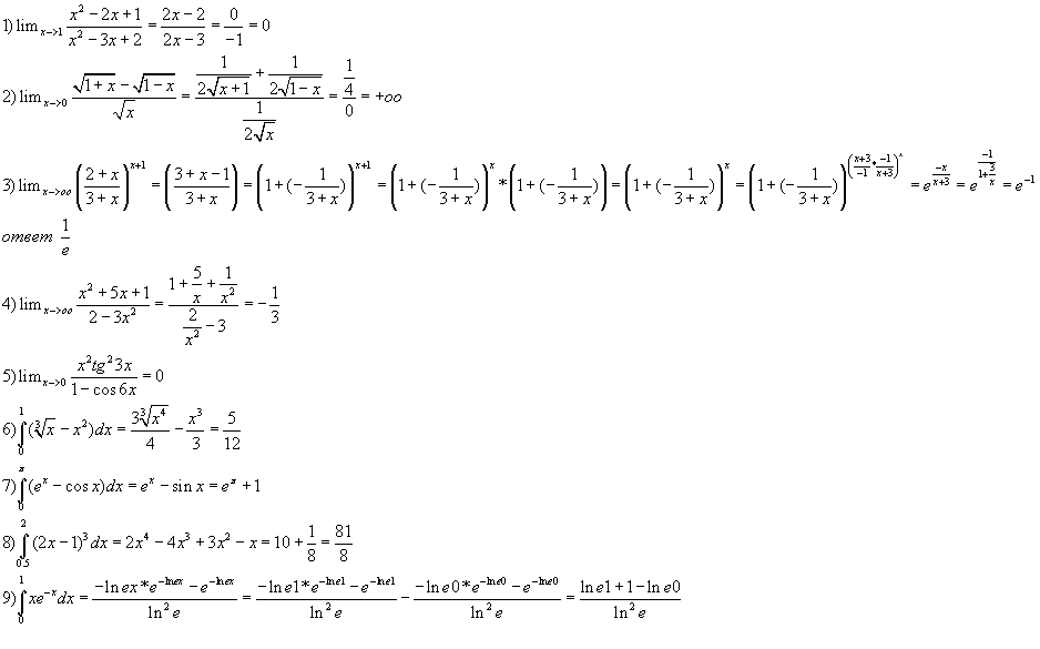
11 класс ЭВМ (элементы высшей математики) ПЛИИИИИИИЗЗЗЗЗЗЗЗЗЗ)))))

Приложения:

Ответы

Ответ дал: Матов
0

не понял две задачи что там найти надо 

///////////////////////////////////

 

 

Приложения:
Вас заинтересует