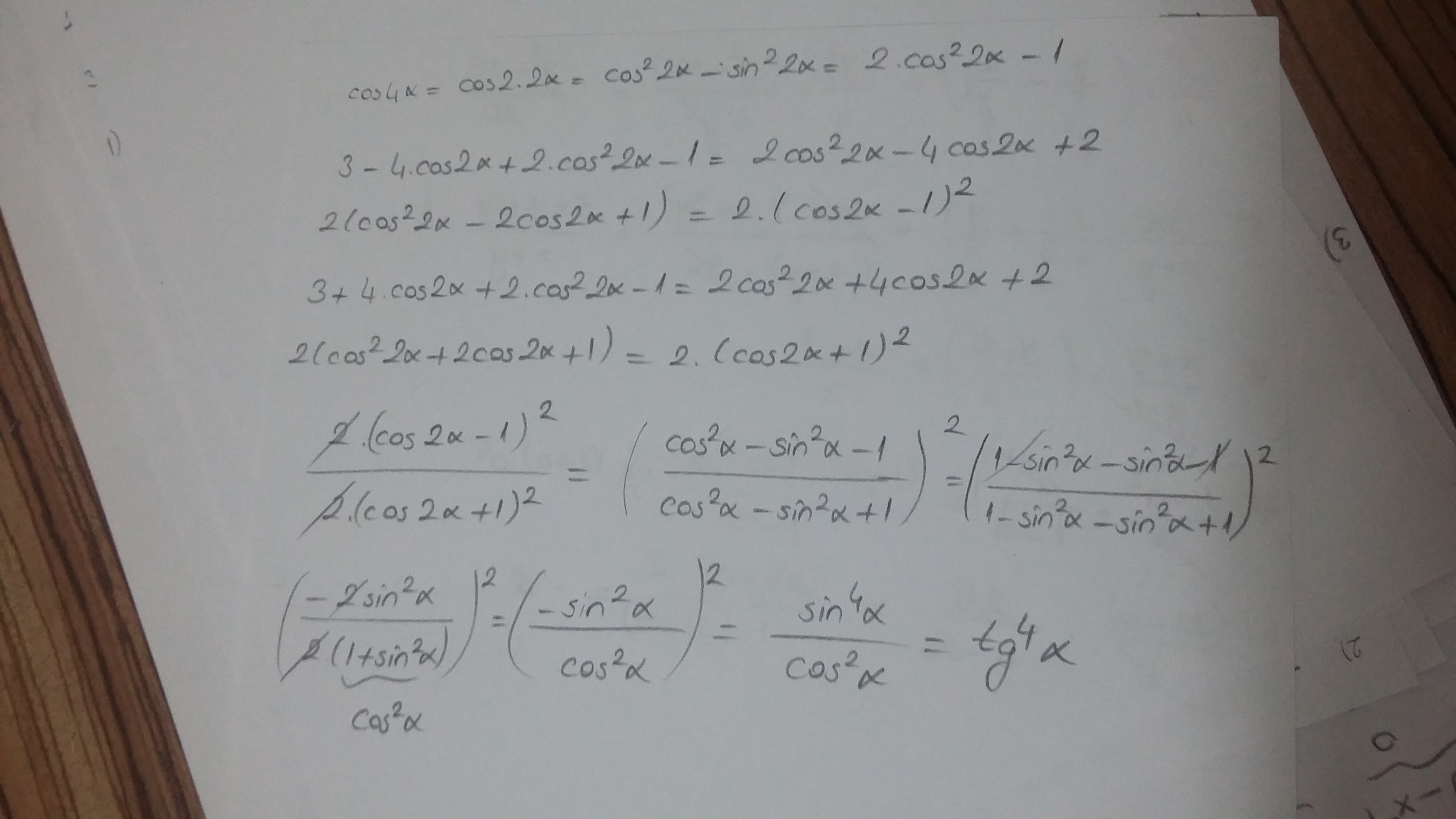
Доказать тождество,подробно!(с описанием шагов)
(3-4cos2a+cos4a)/(3+4cos2a+cos4a)=tg^4a
Приложения:

Ответы
Ответ дал:
0
I hope this helps you
Приложения:

Вас заинтересует
2 года назад
7 лет назад
7 лет назад
9 лет назад
9 лет назад
10 лет назад