• Предмет: Алгебра
  • Автор: lizasinitsina
  • Вопрос задан 9 лет назад

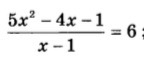
ПОМОГИТЕ ПОЖАЛУЙСТА СРОЧНО РЕШИТЬ УРАВНЕНИЕ!!!! ДОЛГО ЖДАТЬ НЕ МОГУ!!!!!

Приложения:

Ответы

Ответ дал: Аноним
0
5x²-4x-1=6x-6
5x
²-4x-1-6x+6=0
5x
²-10x+5=0
5(x
²-2x+1)=0
x
²-2x+1=0
x=1
Вас заинтересует