Ответы
Ответ дал:
0
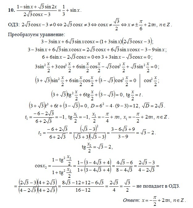
Решение в двух приложениях.
Приложения:


Вас заинтересует
2 года назад
2 года назад