• Предмет: Алгебра
  • Автор: RyzhKrey
  • Вопрос задан 9 лет назад

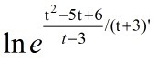
ПОМОГИТЕ, ПРОШУ. СТАВЛЮ 34 БАЛЛА.

Приложения:

Ответа на этот вопрос пока нет. Попробуйте найти его через форму поиска.

Вас заинтересует