• Предмет: Алгебра
  • Автор: malinkadm63
  • Вопрос задан 9 лет назад

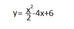
Постройте график функции и укажите область значений (желательно фото)

Приложения:

Ответа на этот вопрос пока нет. Попробуйте найти его через форму поиска.

Вас заинтересует