• Предмет: Математика
  • Автор: Дима1211111
  • Вопрос задан 9 лет назад

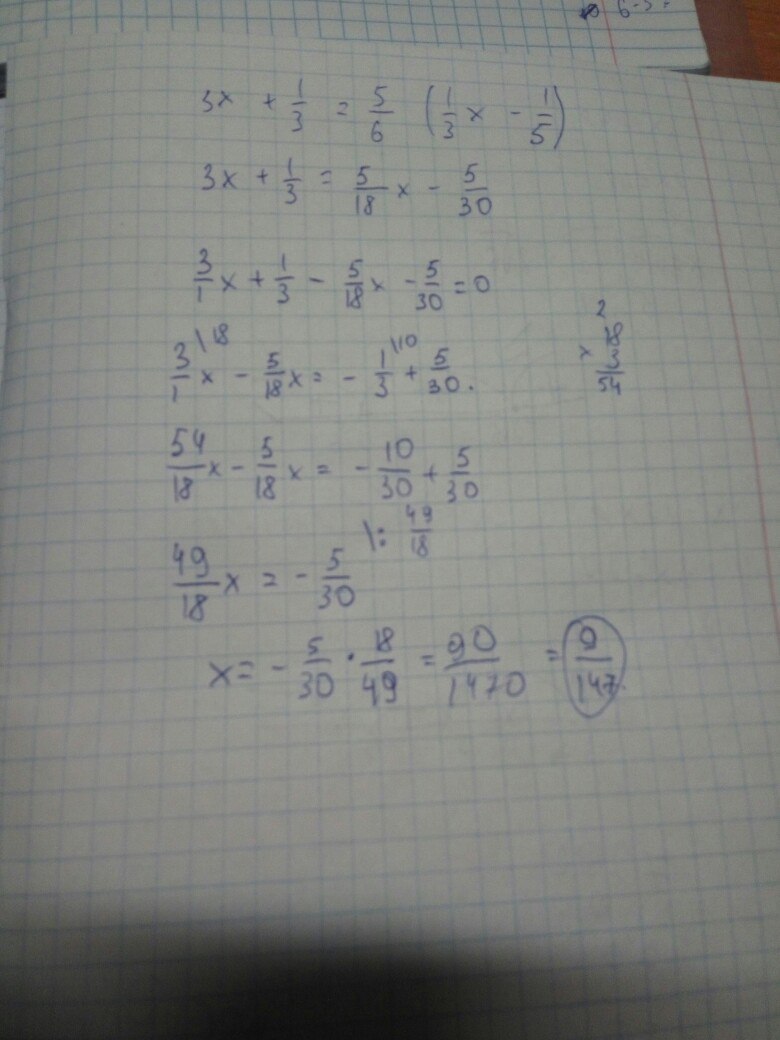
Пожалуйста помогтте составить уравнение и решить его. Желательно с обьяснением Пусть.

Приложения:

Ответы

Ответ дал: n1kione
0
Вроде все понятно написал, надеюсь я правильно решил
Приложения:
Вас заинтересует