• Предмет: Алгебра
  • Автор: Алиночка0125
  • Вопрос задан 9 лет назад

Помогите пожалуйста!!!!
Очень нужно

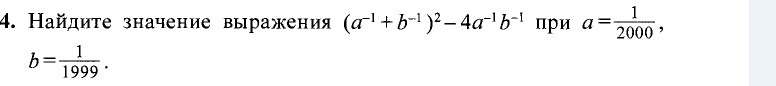
Приложения:

Ответы

Ответ дал: ВикаВикторовна
0
(a⁻¹+b⁻¹)²-4a⁻¹b⁻¹ = (a⁻¹)²+2*a⁻¹b⁻¹+(b⁻¹)²-4a⁻¹b⁻¹ = a⁻²+2a⁻¹b¹+b⁻²-4a⁻¹b⁻¹ = a⁻²-2a⁻¹b⁻¹+b⁻² = (a⁻¹-b⁻¹)² = ((1/2000)⁻¹-(1/999)⁻¹)² = (2000-1999)² = 1² = 1
Вас заинтересует