• Предмет: Математика
  • Автор: toshka3996
  • Вопрос задан 11 лет назад

пожалуйста, срочно решите эти задания!!!

Приложения:

Ответы

Ответ дал: laymlaym2
0

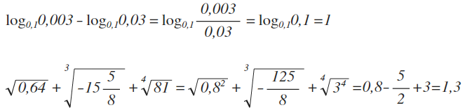
1)log_{0.1}0.003-log_{0.1}0.03=log_{0.1}frac{0.003}{0.03}=log_{0.1}0.1=1

 

2)sqrt{0.64}-sqrt[3]{-15frac{5}{8}}+sqrt[4]{81}=0.8-(-sqrt[3]{frac{125}{8}})+3=\=3.8+frac{5}{2}=3.8+2.5=6.3

Ответ дал: Аноним
0

решение смотри во вложении

Приложения:
Вас заинтересует