• Предмет: Математика
  • Автор: vikiviki45
  • Вопрос задан 9 лет назад

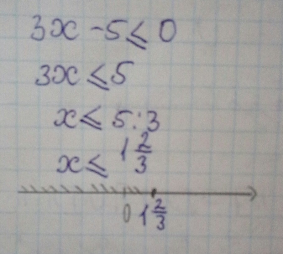
3x-5≤0 Пожалуйста помогите решить. Вообще не понимаю математику.

Ответы

Ответ дал: 555alina5554
0
Ответ: (-бесконечность ; одна целая 2/3]
Бесконечность обозначается перевернутой восьмеркой
Приложения:
Вас заинтересует