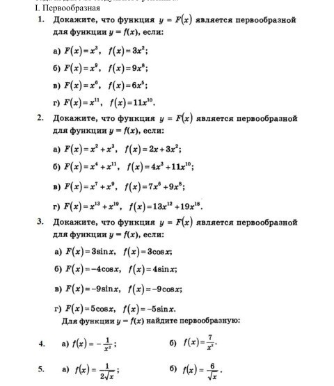
Ответы
Ответ дал:
0
Доказывать не знаю как,просто решила
Не рассмотрела степень в задании 4
В 3 там по таблице практически,я в скобках написала
Не рассмотрела степень в задании 4
В 3 там по таблице практически,я в скобках написала
Приложения:
Вас заинтересует
2 года назад
7 лет назад
10 лет назад
10 лет назад