• Предмет: Алгебра
  • Автор: jdxyjglgus
  • Вопрос задан 9 лет назад

Решите уравнение:::::::::::::

Приложения:

Ответы

Ответ дал: vanoles
0
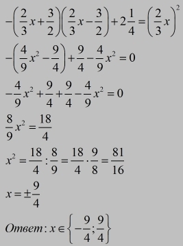
Доброй ночи! Ответ смотри ниже!
Приложения:
Вас заинтересует