• Предмет: Алгебра
  • Автор: ruslan650628
  • Вопрос задан 9 лет назад

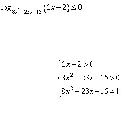
Помогите объединить 3 варианта ответа!

Получается 3 пары -
1)x>1
2)x1=1 ; x2=15/8
3)x1≠7/8 ; x2≠2

Вот их (все 3 варианта/пары) нужно объединить .

В результате правильно должно получится x∈(15/8;2)U(2;+∞)

Но почему не трогают при объединении 7/8 и 1 ?

Всё это из вложения

Приложения:

Ответы

Ответ дал: olezgek17
0
из условия 1 имеем x>1  так что 1 не входит в решение(неравенство строго больше) и 7/8<1 - не входит в ответ
Вас заинтересует