• Предмет: Алгебра
  • Автор: Dashaqwe123
  • Вопрос задан 9 лет назад

помогите с решением.

Приложения:

Ответы

Ответ дал: Аноним
0
I hope this helps you
Приложения:
Ответ дал: avilov41
0
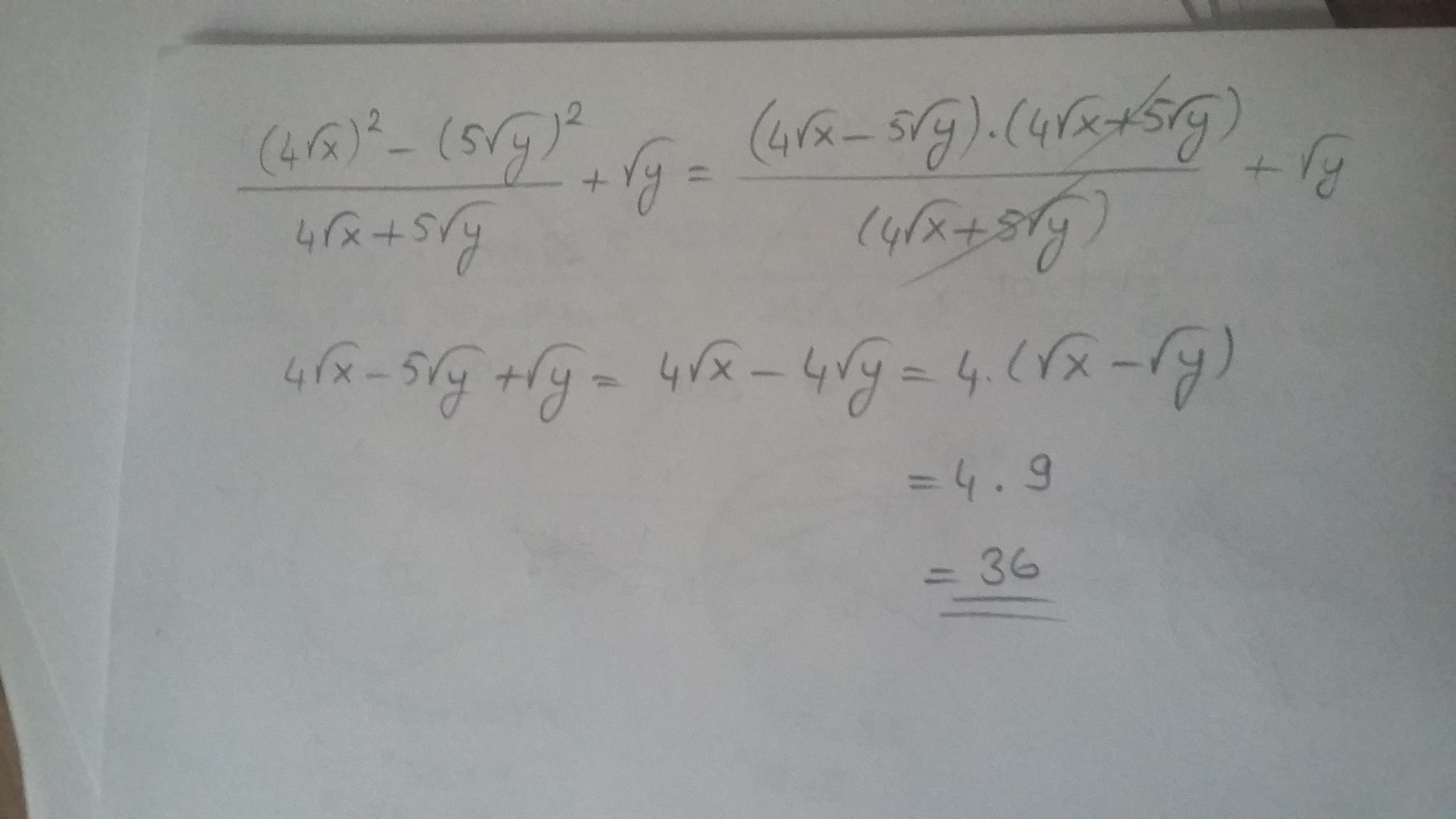
 ( 16x-25y)/(4√x+5√y)+√y=(4√x-5√y)(4√x+5√y)/(4√x+5√y)+√y=
 4√x-5√y+√y=4√x-4√y=4(√x-√y)=4*9=36
  Ответ. 36.
Приложения:
Вас заинтересует