• Предмет: Математика
  • Автор: vashchkkristin
  • Вопрос задан 9 лет назад

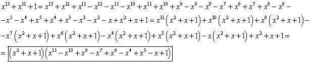
Разложить многочлены x^13+x^11+1 на два множетеля

Ответы

Ответ дал: Аноним
0
**************************************
Приложения:
Вас заинтересует