• Предмет: Алгебра
  • Автор: hokul
  • Вопрос задан 9 лет назад

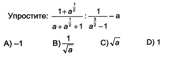
ПОМОГИТЕ ПОЖАЛУЙСТА! Упростить

Приложения:

Ответы

Ответ дал: feniks4
0
как-то так, надеюсь понятно.
Приложения:
Ответ дал: hokul
0
Большое спасибо!
Вас заинтересует