• Предмет: Алгебра
  • Автор: ГОСТЬ2014
  • Вопрос задан 9 лет назад

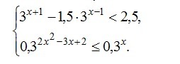
Помогите решить систему

Приложения:

Ответы

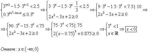
Ответ дал: Аноним
0
*************************
Приложения:
Вас заинтересует